地震绕射波成像能够准确地反映出断层、岩层尖灭等地下不连续介质体的构造形态,为石油与天然气勘探提供重要的成像依据。然而,在地表接收的全波场数据中,绕射波常常与反射波混叠,且其能量较反射波更弱。如果直接使用全波场数据成像,这些地下不连续介质会被连续的反射界面掩盖,因此需要分离出绕射波,以单独成像。
目前,平面波分解(PWD)是工业界最常用的绕射波分离方法。然而,PWD仍受限于昂贵的计算成本和不准确的分离精度。鉴于深度学习在图像领域取得的突出进步,许多学者已提出基于深度学习的绕射波分离方法,包括生成对抗网络(GAN)和 U-Net 等。这些基于深度学习的方法能够极大地减少绕射波分离的计算成本,但其分离精度仍受到一定限制。
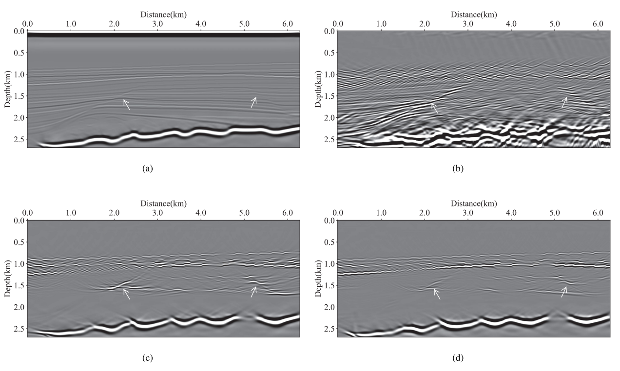
研究成果探索了基于条件去噪扩散模型(c-DDPM)的绕射波分离和成像方法。 c-DDPM作为一种最新的条件生成模型,在其训练过程中能够学习到绕射波数据的分布特征和与全波场数据的对应关系。训练结束后,c-DDPM只需要输入一个纯噪音图像和给定的全波场数据,就能逐渐生成分离后的绕射波数据。研究成果证明,相比于常规的PWD和U-Net,c-DDPM有着更高的绕射波分离精度(图1)。对分离后的绕射波数据进行RTM成像,研究结果表明使用c-DDPM方法得到的绕射波成像结果能够很好地反映出地下不连续介质体的位置和形态(图2)。

图1. 合成数据上绕射波分离的结果
a是输入的全波场数据,b、c、d分别是PWD、U-Net、c-DDPM方法分离的绕射波数据

图2. 绕射波成像结果
a是全波场成像结果,b、c、d分别是使用PWD,U-Net, c-DDPM分离绕射波数据的成像结果
研究成果近期发表在在遥感和地学领域权威期刊IEEE Transcations on Geoscicence and Remote Sensing。论文第一作者是beat365唯一官方网站地震波传播与成像课题组硕士生张浩,通讯作者为李媛媛特聘教授和黄建平教授。
论文信息:Hao Zhang, Yuan-Yuan Li, Jian-Ping Huang, 2024, Conditional Denoising Diffusion Probabilistic Model for Seismic Diffraction Separation and Imaging, IEEE Transactions on Geoscience and Remote Sensing, https://doi.org/10.1109/TGRS.2024.3381193